产品资讯
红外发光二极管(IR LED)在遥控中的应用
更新时间 2021-04-09 16:33
阅读
1.介绍
其实在我们生活的周围到处都是有着不同波长的电磁波。其中可见光是人眼能探测到的电磁波的一部分,它的波长约为380~770nm。为了防止遥控对人眼造成不适,工业上几乎所有的遥控发射器都采用了肉眼无法看见的940nm波长。

波长光谱
与大多数无线传输技术一样,为了避免来自环境中相同波长的电磁波的干扰,在传输信号中添加载波(如下图所示)。载波的频率范围为30k~60kHz,最常见的载波频率为38kHz。

红外信号和载波
2.红外发光二极管的特性
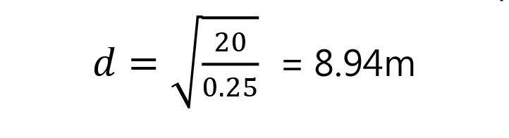
在没有干扰(光、辐射和电路)的情况下,图3中的红外发射强度与传输距离的关系可参考以下公式:

上式中,Ie为辐射强度,单位为兆瓦/兆瓦
Eemin为接收机灵敏度,单位为mW/m2
dmax为最远传输距离,单位为米。
以亿光的IR26-61C/L510为例,如果在if=20mA,环境温度为25℃下工作,辐射强度约为20mW/sr,一般红外接收器的灵敏度约为0.25mW/m2。距离d约为


红外传输距离
红外发光二极管规范规定了在固定电流下0度角的辐射强度。它的值会随着角度的变化而衰减。视角是强度衰减到1/2的角度。有关定义,请参阅下图中的红色区域。

辐射强度与发射角的关系
IR规格将指示最大连续输出电流(连续正向电流),该值通常在环境温度TA=25℃时定义。如果需要在不同的环境温度下工作,则需要参考规范下图1中的最大直流正向电流与环境温度之间的关系。此外,如果在以最大连续输出电流发射时接收距离需要大于接收距离,可以参考最大正向电流和占空比之间的关系图(该图在不同环境温度下具有不同的曲线)来增加发射电流。以下图2为例,在连续发射的情况下,最大工作电流为50mA。占空比为50%时最大工作电流为100mA,占空比为30%时最大工作电流为150mA。

图1:直流正向电流和环境温度最大值

图2:最大正向电流与占空比的关系
如上所述,遥控器的红外传输是通过载波进行的,因此不会连续传输。如果占空比较低,则最大工作电流将增加。关系类似于上图2中的图表。一般载波的占空比(占空比:D)可以设置为1/2、1/3和1/4。占空比越低,传输时间越短,节能效果越好,但在相同驱动电流下遥控接收器的接收距离也会越短。如果您不关心功耗,可以将占空比设置为1/2以获得更好的接收效果。如果需要考虑省电和接收距离,建议将占空比设置为1/3。
3.亿光重新启动部分列表(SMD)
下面表格是推荐亿光的SMD IR型号和简单规格。

本红外发光二极管应用仅供客户设计时参考。实际使用时请自己验证。如果您还有其他问题或是需要亿光IR26-61C/L261、IR226-61C/L510、IR29-01C/L510、IR89-01C/L447、IR91-01C/L491、IR16-213C/L510,请联系超毅电子。
